Jedi Security
root
/
downloads
/
FBI
📄 09-29-20_Letter to Sen. Graham_Declassification of FBI's Crossfire Hurricane Investigations_20-00912_U_SIGNED-FINAL.rar
📄 09_29_20_Letter_to_Sen_Graham_Declassification_of_FBI's_Crossfire.pdf
📄 09_29_20_Letter_to_Sen_Graham_Declassification_of_FBI's_Crossfire.pdf_thumb.jpg
📄 18-293URL1FBI-SovereignCitizens.pdf
📄 20121220_CTIC_Sandy Hook Shooting Summary.pdf
📄 2021.07.06 FBI proposed production schedule.pdf
📄 2021.07.06 FBI proposed production schedule.pdf_thumb.jpg
📄 Anthrax-FollowUp-PreFOIA-OSD-JSFOIA-22-F-0755.7z
📄 Anthrax-War (CBC Investigation) - Brooks_Coen.7z
📄 Archimedes.rar
📄 Area 7 AMD 88 - 6 Month Extension - signed.pdf
📄 Area 7 Contract Amendment - Labour Category 76 Level 5.pdf
📄 Area 7 PL76 Level 5.pdf
📄 Area 7 SSS Option Year 2.doc
📄 BRPD PHONE CALLS LANG FBI JBE LSP Print Report - LaBatonRougePd (1).pdf
📄 BRPD_PHONE_CALLS_LANG_FBI_JBE_LSP_Print_Report_LaBatonRougePd.pdf
📄 BRPD_PHONE_CALLS_LANG_FBI_JBE_LSP_Print_Report_LaBatonRougePd.pdf_thumb.jpg
📄 Beating The FBI.pdf
📄 Black Extremist COINTELPRO.pdf
📄 CHIDMS1-2717389-v1-Mantech_-_Norway_Memo.doc
📄 Chris Wren CV Mantech.doc
📄 CoIntelMLK.pdf
📄 Costco_ManTech_Coupons.pdf
📄 Data FBI.gov.rar
📄 Delen-FBI_SATANIC_ABUSE_136592NCJRS.pdf_thumb.jpg
📄 Extension of ManTech Consultant Contracts.doc
📄 FBI ACCESING DATABASE GARNESIA TEAM.txt
📄 FBI Agent Pizza Gate de.pdf
📄 FBI Anon AMA Transcripts 07-02-2016.pdf
📄 FBI Anon – Traditional Teez.pdf
📄 FBI FUCK.zip
📄 FBI SSCI Briefing Document 2018.rar
📄 FBI Sniper Memo [Houston] (1).pdf
📄 FBI Sovereign Citizen.pdf
📄 FBI Zionist USA.zip
📄 FBI gangstalking gunderson-affidavit.pdf
📄 FBI's Purposely Forgotten HRC Related Laptops _ u_CaptainRoyD.pdf.zip
📄 FBI- HRC.zip
📄 FBI-Anthrax-Questions.zip
📄 FBI-Bulletin-Activists.zip
📄 FBI-Civil-Rights.rar
📄 FBI-Civil-Rights.zip
📄 FBI-Cointelpro.rar
📄 FBI-Cointelpro.zip
📄 FBI-DCS-2003-Report(2).zip
📄 FBI-DCS-2003-Report.zip
📄 FBI-DCS-2003.zip
📄 FBI-DCS-Complaint.rar
📄 FBI-DNS.txt
📄 FBI-Entrapment-Terrorism-Maryland.rar
📄 FBI-IDW-Complaint.zip
📄 FBI-IPinfo.py
📄 FBI-Nsl-Finance-Abuse(1).zip
📄 FBI-Nsl-Finance-Abuse.zip.part
📄 FBI-Nsl-Internet-Archive-Surveillance.zip
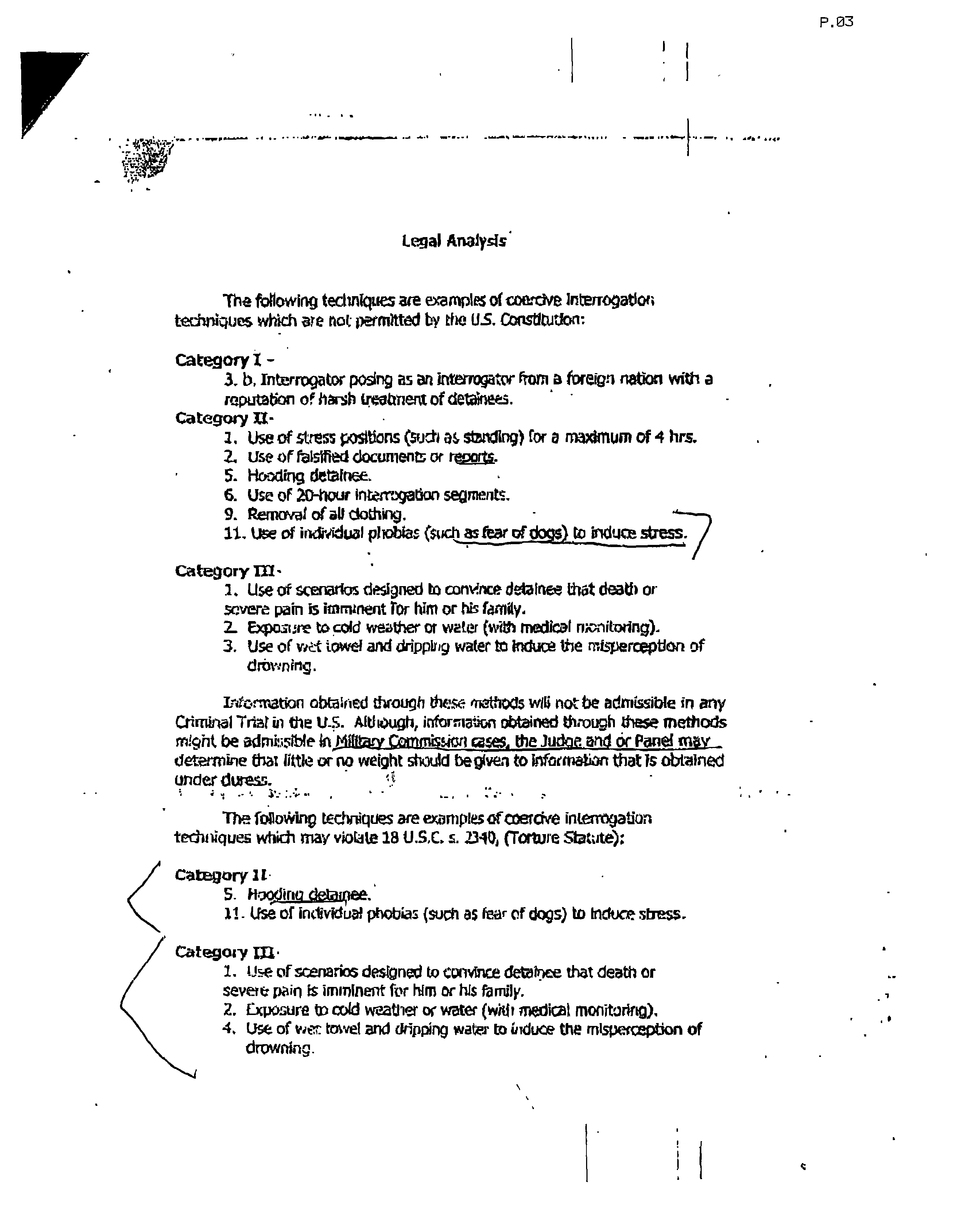
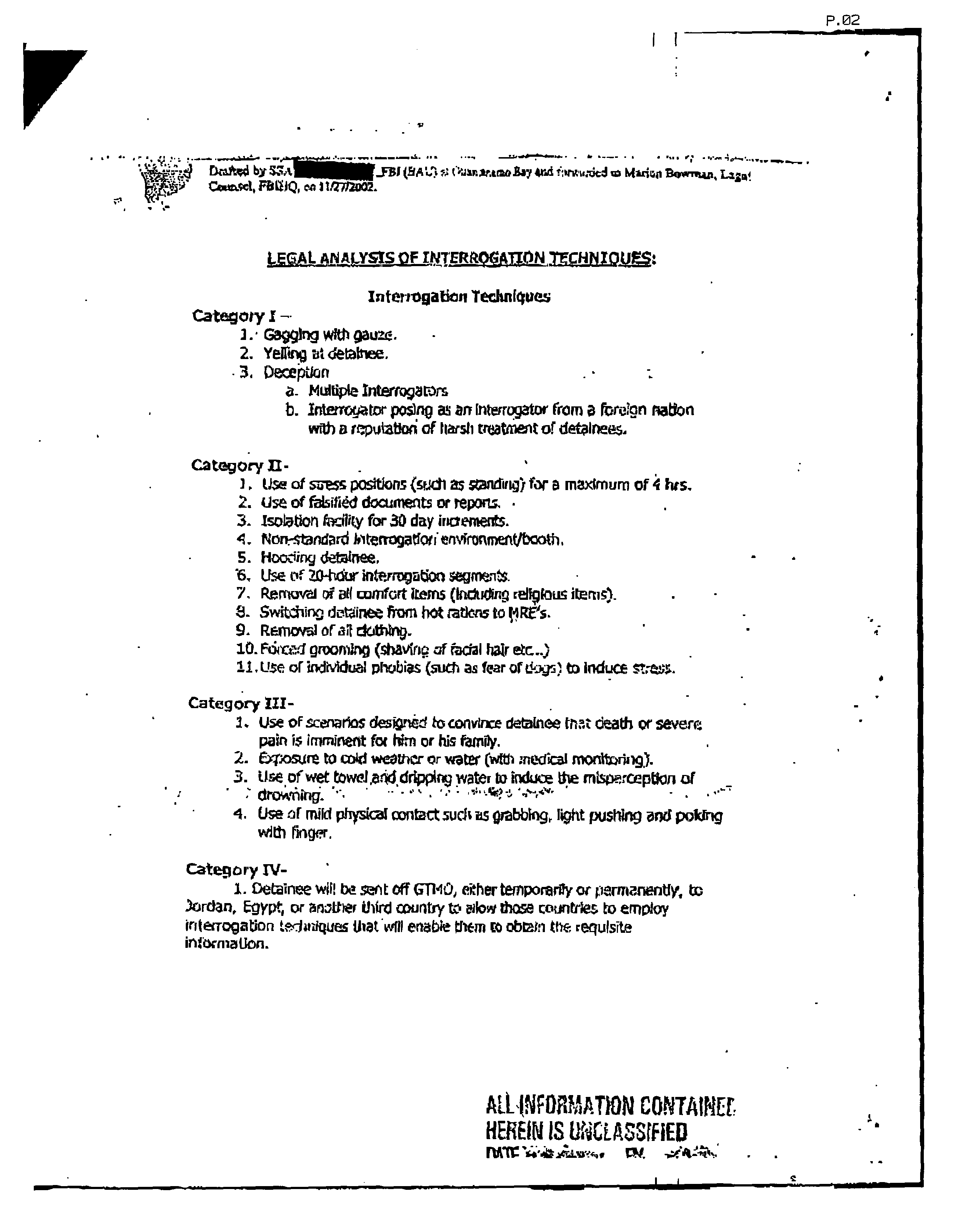
📄 FBI-US-Torture-Guantanamo-Interrogation-Techniques-FBI-2002-1.png
📄 FBI-US-Torture-Guantanamo-Interrogation-Techniques-FBI-2002-2.png
📄 FBI-US-Torture-Guantanamo-Interrogation-Techniques-FBI-2002-3.png
📄 FBI-Wiretap.zip
📄 FBI-pedophile-symbols.pdf
📄 FBI.txt
📄 FBI=CIA=Files.zip
📄 FBI_Columbine_documents.pdf
📄 FBI_DATA.txt
📄 FBI_EMAILS.pages
📄 FBI_Loughner_Part_1.pdf
📄 FBI_Loughner_Part_2.pdf
📄 FBI_Loughner_Part_3.pdf
📄 FBI_SATANIC_ABUSE_136592NCJRS.rar
📄 FBI_Sandy_Hook_Part_1.pdf
📄 FBI_Sandy_Hook_Part_3.pdf
📄 FBIfacilitatedHillarysforeignbribes.rar
📄 Feds_Arresting_Feds-Backlash.pdf
📄 Gary Spalton CV - ManTech v2.doc
📄 ISO Certs - ManTech.doc
📄 LaPaz-FBI-May2017.rar
📄 MLK-3.png
📄 MLK-5.png
📄 MLK-FAMILY PAID $100 BY US GOVERNMENT(2).png
📄 MLK-FAMILY PAID $100 BY US GOVERNMENT(3).png
📄 MLK-FAMILY PAID $100 BY US GOVERNMENT.png
📄 MLK-Last Court Appearance(1).png
📄 MLK-Last Court Appearance(2).png
📄 MLK-Last Court Appearance-2(2).png
📄 MLK-Last Court Appearance-2(3).png
📄 MLK-Last Court Appearance-2.png
📄 MLK-Last Court Appearance.png
📄 MLK_4(2).png
📄 MLK_4.png
📄 ManTech - Andrew Robertson.doc
📄 ManTech - Bob Nauer.doc
📄 ManTech - CV - Matt Salisbury.doc
📄 ManTech - Gary Spalton v2.pdf
📄 ManTech - Gary Spalton.pdf
📄 ManTech - Infosec & Cisco - Brian Done.DOC
📄 ManTech - Infosec & Cisco - Ian Duffy.DOC
📄 ManTech - Infosec - Brian Erwin.DOC
📄 ManTech - Infosec - David Sun.DOC
📄 ManTech - Infosec - Lee Liddell.doc
📄 ManTech - Infosec - Leslie Ahrens.DOC
📄 ManTech - Keisha Solomon - PKI Subject Expert.doc
📄 ManTech - Mandy Clark Administrator.doc
📄 ManTech - Paterson Nikki - Project Administrator.doc
📄 ManTech - Walker-Cousins Joe.doc
📄 ManTech CV - Lee Walsh Payroll Assistant.doc
📄 ManTech CV - Samantha Stokes Payroll Assistant.doc
📄 ManTech Entities by Business.pdf
📄 ManTech Global Services Call Plan Template.pptx
📄 ManTech MIC-IV '09.ppt
📄 ManTech NAMIS Comments Document.doc
📄 ManTech NDA (Draft).doc
📄 ManTech Offer - Jules RFQ.doc
📄 ManTech Offer - j.doc
📄 ManTech Offer Letter Administrative Assistant Lvl 5.pdf
📄 ManTech Offer Letter Revised 23 Jan 2008 All Inclusive.pdf
📄 ManTech Offer Letter Revised 23 Jan 2008.pdf
📄 ManTech PM Letter - Yvan Blomme.doc
📄 ManTech Response (V2).doc
📄 ManTech VPN User Guide V2.doc
📄 ManTech cv - Geoff James.doc
📄 ManTech for IFB-CO-FTS-AFGHANISTAN-2005.pdf
📄 ManTech.doc
📄 Mantech - Williams, Donald.doc
📄 Mantech Wallpaper (NT Green).bmp
📄 Notes-of-FBI-Int-Steele-2017-1(2).pdf
📄 Notes-of-FBI-Int-Steele-2017-1(3).pdf
📄 Section 3 1 ManTech Invoicing Process rev 2 (Lindy's comments).doc
📄 Seth Rich-FBI refuses-court.zip
📄 Tara_Reade_Lawsuit_Against_FBI.pdf
📄 US-Torture-Guantanamo-Interrogation-Techniques-FBI-2002 (1).zip
📄 US-Torture-Guantanamo-Interrogation-Techniques-FBI-2002.zip
📄 anthrax.zip
📄 cattlemutilations-fbi-vault.pdf_thumb.jpg
📄 cattlemutilations-fbi1.pdf_thumb.jpg
📄 columbine_basement_tapes_1.0.pdf
📄 comey-oig-o1902.pdf
📄 fbi and the catholic church.pdf
📄 fbi report section 1_abbyy.gz
📄 fbi-DCS_2003_report.pdf
📄 fbi-DCS_complaint.pdf
📄 fbi-IDW_complaint.pdf
📄 fbi-anthrax-questions.pdf
📄 fbi-bulletin-activists.pdf
📄 fbi-bulletin-leftists.pdf
📄 fbi-civil-rights.pdf
📄 fbi-cloudflare-api.txt
📄 fbi-cointelpro.pdf
📄 fbi-ecoterrorism.pdf
📄 fbi-entrapment-terrorism-dc.pdf
📄 fbi-entrapment-terrorism-detroit.pdf
📄 fbi-entrapment-terrorism-irvine-mosque.pdf
📄 fbi-entrapment-terrorism-liberty-city-seven.pdf
📄 fbi-entrapment-terrorism-maryland.pdf
📄 fbi-entrapment-terrorism-portland.pdf
📄 fbi-entrapment-terrorism-smadi.pdf
📄 fbi-files-directors-agents-and-personnel-of-the-federal-bureau-of-investigation-fbi.zip
📄 fbi-files-the-paranormal-collection.zip
📄 fbi-fusion-center.pdf
📄 fbi-indymedia-server-seizure-eff-surveillance.pdf
📄 fbi-jihad.pdf
📄 fbi-military-nazis-2008 (1).pdf
📄 fbi-military-nazis-2008-1.pdf
📄 fbi-military-nazis-2008-1.pdf_thumb.jpg
📄 fbi-military-nazis-2008.pdf
📄 fbi-military-nazis-2008.pdf_thumb.jpg
📄 fbi-nsl-finance-abuse.pdf
📄 fbi-nsl-internet-archive-surveillance.pdf
📄 fbi-nsl-surveillance-indymedia-eff.pdf
📄 fbi-wiretap-governor.pdf
📄 fbi-wiretap.pdf
📄 fbianon.docx
📄 fbifoia.pdf
📄 fbigov.txt
📄 fbigov3.txt
📄 fbileaks.txt
📄 feds_arresting_feds_2(2).zip
📄 gunderson-affidavit (2).pdf
📄 johnmack-fbidestroyed.rar
📄 lee-sclc-v.-kelley-1977-sealing-order-re-fbi-tapes-of-martin-luther-king-mlk.rar
📄 us-fbi-1949-VitalInstallationsMemo.pdf
📄 us-torture-guantanamo-interrogation-techniques-fbi-2002.pdf
📄 us-trump-jan6-what_the_fbi_saw.part1.rar
📄 us-trump-jan6-what_the_fbi_saw.part2.rar
📄 us-trump-jan6-what_the_fbi_saw.part3.rar
📄 us-trump-jan6-what_the_fbi_saw.part4.rar
📄 us-trump-jan6-what_the_fbi_saw.part5.rar
📄 us-trump-jan6-what_the_fbi_saw.part6.rar
📄 us-trump-jan6-what_the_fbi_saw.part7.rar
📄 vuln.fbi.txt
📄 warn_about_of_ramsomaware_from_fbi.pdf
📄 williamharvey-fbi1.pdf